Researchers from the Shenyang National Laboratory for Materials Science, the Institute of Metal Research, Chinese Academy of Sciences (IMR, CAS), have developed a new ferroelectric ultraviolet photodetector material that dramatically overcomes the long-standing performance bottlenecks of conventional photodetectors. This breakthrough, published in Nature Communications, promises to enable next-generation optical detection with ultra-fast speed, high sensitivity, and low noise across a wide range of applications.
Photodetectors, which convert light signals into electrical currents, are the fundamental building blocks of modern optoelectronics. They are crucial for technologies such as high-speed optical communications, environmental monitoring, and space exploration. However, achieving a material that simultaneously possesses ultra-fast response, high sensitivity, and low noise has been a significant challenge.
Ferroelectric materials, known for their spontaneous internal electric fields, have long been considered promising candidates. The intrinsic built-in field can efficiently separate light-generated electron-hole pairs, a key step in the detection process. Unfortunately, the performance of most ferroelectric-based detectors is severely limited by high-density domains with varying polarization directions. These domain walls can scatter and trap charge carriers, drastically slowing down the device's response time.
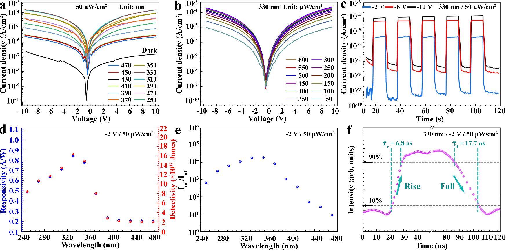
To solve this fundamental problem, the research team designed and synthesized a high-quality thin film of a novel magnetoplumbite-type compound, SrAl₁₁₋δTiO₁₉ (SATO). Using advanced aberration-corrected transmission electron microscope, they discovered that The SATO film possesses a unique structure with polarization along the c-axis and exhibits the possibility of single-domain ferroelectrics. Ferroelectric performance tests show that the remnant polarization of SATO film reaches 7.8 μC/cm2 and the polarization retention exceeds 500 hours. Optoelectronic performance measurements reveal that the SATO photodetector exhibits excellent performance with response wavelength of 330 nm, responsivity of 860 mA/W, detectivity of 1.63 × 1013 Jones, switching ratio of 1.9 × 104, and ultrafast rise/fall response speed of 6.8 ns/17.7 ns This is nearly ten thousand times faster than conventional ferroelectric photodetectors, shattering the previous performance ceiling.
This breakthrough represents a major leap forward in photodetector material science. By solving the intrinsic problem of domain-wall scattering, the SATO material unlocks the full potential of ferroelectrics for high-performance optoelectronics. It paves the way for a new generation of ultrafast, highly sensitive detectors vital for real-time high-precision applications in communication, sensing, and scientific exploration.

Microstructure of AlN and SATO thin films. (a, b) Bright-field transmission electron microscopy (TEM) image and selected area electron diffraction (SAED) pattern of the AlN/STO cross-sectional sample. (c, d) Bright-field TEM image and SAED pattern of the SATO/STO cross-sectional sample. No obvious ferroelectric domain walls were observed in the SATO thin film, indicating its single-domain characteristic. Scale bars: 20 nm. (Image by IMR)

Atomic structure of the SATO thin film along three low-index zone axes. (a-c) High-angle annular dark-field (HAADF) and (d-f) annular bright-field (ABF) scanning transmission electron microscopy (STEM) images viewed along the [1120], [1100], and [0001] zone axes, respectively. The SATO structure consists of alternating rock-salt blocks (R) and spinel blocks (S) stacked along the c-axis. Scale bar: 1 nm. (Image by IMR)

Atomic-scale EDS elemental mapping of the SATO thin film. (a) HAADF-STEM image of the SATO thin film. (b-e) Elemental distribution maps of Sr, Al, Ti, and O. (f) Overlay image of Sr, Ti, and Al elemental signals. Ti atoms partially substitute for Al atoms at the 4f1 Wyckoff position. Scale bar: 5 Å. (Image by IMR)

Ferroelectric properties of the SATO thin film. (a-c) Piezoresponse force microscopy (PFM) amplitude and phase images showing clear ferroelectric switching characteristics. (d) PUND-measured hysteresis loop confirming the intrinsic ferroelectricity of the SATO film. The SATO film exhibits a high remanent polarization of 7.8 μC/cm² and excellent fatigue resistance. Scale bars: 2 μm. (Image by IMR)

Photoelectric properties of the SATO thin film. (a-c) Photocurrent response curves under different wavelengths, light intensities, and bias voltages. The SATO film shows the strongest response to 330 nm ultraviolet light and excellent weak-light detection capability. (d, e) Responsivity, detectivity, and on/off ratio performance at different wavelengths. The SATO film demonstrates outstanding overall photoelectric performance. (f) Time-resolved transient photoresponse curves. The SATO film exhibits nanosecond-level ultrafast response speed. (Image by IMR)

Comparison of the properties of ferroelectric photodetectors. (a) Responsivity and (b) detectivity of ferroelectric PDs. The SATO PDs exhibit outstanding comprehensive properties with high responsivity, high detectivity, and ultrafast response speed. (Image by IMR)